Ελλάδα

Απάτητες παραλίες 2026: Στις 251 οι ακτές όπου απαγορεύονται ξαπλώστρες και καντίνες – Σε Φολέγανδρο, Μεσολόγγι, Κυκλάδες και Κρήτη οι προσθήκες

Με την ανωτέρω τροποποίηση επιδιώκεται η αποτελεσματική προστασία παραλιών, που έχουν ιδιαίτερη αισθητική, γεωμορφολογική ή οικολογική αξία

Η Λευκάδα, η Λήμνος, το Δέλτα Αχελώου, η λιμνοθάλασσα Μεσολογγίου, οι Μικρές Κυκλάδες, καθώς και περιοχές της Κρήτης προστέθηκαν στις «Απάτητες παραλίες», εκεί δηλαδή όπου απαγορεύονται οι ξαπλώστρες και οι καντίνες, μετά από υπογραφή υπουργικής απόφασης.

Με τη νέα ρύθμιση τροποποιείται η προηγούμενη ΚΥΑ, με στόχο την περαιτέρω ενίσχυση της περιβαλλοντικής προστασίας των παραλιών, καθώς εντάσσονται επιπλέον περιοχές στο καθεστώς. 

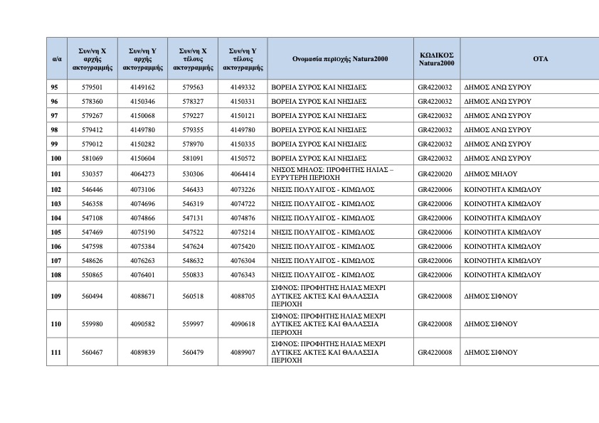
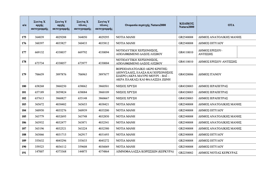
Δείτε εδώ τη λίστα με τις 251 «Απάτητες παραλίες»

Οι προσθήκες έγιναν και αφορούν διάφορες περιοχές της Ελλάδας, όπως τη Λευκάδα, τη Λήμνο, το Δέλτα Αχελώου και τη λιμνοθάλασσα Μεσολογγίου, τις Μικρές Κυκλάδες (Ηρακλειά, Σχοινούσα, Κουφονήσια, Κέρος), καθώς και περιοχές της Κρήτης όπως ο Κίσσαμος, η ΚαντάνουΣελίνου, η Ελαφονήσος, η Γραμβούσα και τα Φαλάσαρνα. Συνολικά περιλαμβάνονται σημαντικές παράκτιες και νησιωτικές περιοχές, όπως και η Φολέγανδρος και άλλα κοντινά νησιά του Αιγαίου.

Με τη νέα ΚΥΑ, αυξάνονται οι αιγιαλοί και παραλίες εντός περιοχών που συμπεριλαμβάνονται στον Εθνικό Κατάλογο Περιοχών του Ευρωπαϊκού Οικολογικού Δικτύου Natura 2000 και στις οποίες απαγορεύεται πλέον η παραχώρηση απλής χρήσης, καθώς και οποιαδήποτε άλλη δράση, που μπορεί να θέσει σε κίνδυνο τη μορφολογία τους και την ακεραιότητά τους ως προς τις οικολογικές τους λειτουργίες.

Σχόλια
Σχολίασε εδώ
50 /50
2000 /2000
Όροι Χρήσης. Το site προστατεύεται από reCAPTCHA, ισχύουν Πολιτική Απορρήτου & Όροι Χρήσης της Google.
Ελλάδα
Ακολουθήστε το Νewsit.gr στο Google News και ενημερωθείτε πρώτοι για όλη την ειδησεογραφία και τα τελευταία νέα της ημέρας
Ελλάδα: Περισσότερα άρθρα
Αθώος λόγω αμφιβολιών ο Νίκος Ρωμανός, ένοχες δύο γυναίκες για την έκρηξη σε διαμέρισμα στους Αμπελόκηπους   
Απο την ισχυρότατη έκρηξη, προκλήθηκαν σοβαρές ζημιές στην πολυκατοικία, η οποία κρίθηκε ακατάλληλη και έκτοτε οι ένοικοι των περίπου 40 διαμερισμάτων ζουν σε ξενοδοχείο στο κέντρο της Αθήνας
κτίριο έκρηξη αμπελόκηποι 7